位置:
首页
>
产品中心
盐酸溴己新
纯度含量:
≥99%
包装:
25 KG
CAS NO:
611-75-6
分子式:
C14H20Br2N2.HCl
分子量:
412.60
产品介绍
产品名称
盐酸溴己新
CAS号
611-75-6
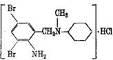
结构式
分子式
C
14
H
20
Br
2
N
2
.HCl
分子量
412.60
外 观
白色或类白色晶体粉末
含 量
≥99%
用 途
抗哮喘原料药
包 装
25 KG / 纸板桶
江西荣兴药业有限公司
获取底价
提交后,商家将派代表为您专人服务
我对您的盐酸溴己新产品感兴趣,请发具体的信息及报价,谢谢!
相关产品:
N-(2-硝基苄)–N-甲基环己胺
关注(
3828
)
N-(2-硝基苄)–N-甲基环己胺.盐酸盐
关注(
3378
)
2-氨基-N-环己基-N-甲基苯甲胺
关注(
3194
)
2-氨基-3,5-二溴苯甲醇
关注(
3677
)
N-乙酰基-3-氯-L-丝氨酸甲酯
关注(
3395
)
DL-萘普生
关注(
3104
)
左旋对羟基苯甘氨酸甲酯
关注(
3111
)
2-巯基-4-吡啶基噻唑
关注(
3087
)