位置:
首页
>
产品中心
N-(2-硝基苄)–N-甲基环己胺.盐酸盐
纯度含量:
≥99%
包装:
25 KG
CAS NO:
31611-42-4
分子式:
C14H20N2O2.ClH
分子量:
284.78
产品介绍
产品名称
N-(2-硝基苄)–N-甲基环己胺.盐酸盐
CAS号
31611-42-4
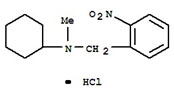
结构式
分子式
C
14
H
20
N
2
O
2
.ClH
分子量
284.78
外 观
白色结晶性粉末
含 量
≥99%
熔 点
232-235℃
用 途
盐酸溴己新中间体
包 装
25 KG / 纸板桶
江西荣兴药业有限公司
获取底价
提交后,商家将派代表为您专人服务
我对您的N-(2-硝基苄)–N-甲基环己胺.盐酸盐产品感兴趣,请发具体的信息及报价,谢谢!
相关产品:
2-氨基-3,5-二溴苯甲醛
关注(
4115
)
3-甲氧基丙烯酸甲酯
关注(
4129
)
2-氨基-N-环己基-N-甲基苯甲胺
关注(
3194
)
2-氨基-3,5-二溴苯甲醇
关注(
3677
)
N-乙酰基-3-氯-L-丝氨酸甲酯
关注(
3395
)
DL-萘普生
关注(
3105
)
左旋对羟基苯甘氨酸甲酯
关注(
3112
)
2-巯基-4-吡啶基噻唑
关注(
3088
)