3-羟基头孢
| 纯度含量: | ≥99.0% | | CAS NO: | 54639-48-4 |
产品介绍
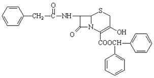
中文名称 | 3-羟基头孢 | 英文名称 | 7-PHENYLACETAMIDE-3-HYDROXY-3-CEPHEM-4-CARBOXYLIC ACID DIPHENYLMETHYL ESTER | 中文别名 | 7-苯乙酰氨基-3-羟基-3-头孢环-4-羧酸二苯甲酯;(6R,7R)-3-羟基-8-氧代-7-[(苯基乙酰基)氨基]-5-硫杂-1-氮杂双环[4.2.0]辛-2-烯-2-羧酸二苯基甲酯;GHYA头孢唑肟钠中间体;头孢唑肟钠中间体;3-OH | CAS RN | 54639-48-4 | 分 子 式 | C15H14N2O5S | 分 子 量 | 334.3471 | 物化性质 | 形状 白色或类白色结晶末 鉴别 IR,NMR 含量 (HPLC)≥99.0% 水份 (K.F.)≤0.5% | 结构式 |  | 用 途 | 头孢唑肟钠中间体 |
| |
相关产品:
|