7-ANCA
| 纯度含量: | ≥98.0% | | CAS NO: | 36923-17-8 | | 分子式: | C7H8N2O3S | | 分子量: | 200.22 |
产品介绍
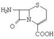
化学名称: | 7-ANCA | 英文名: | 7-Amino-3-nor-3-cephem-4-carboxylic acid | CAS NO.: | 36923-17-8 | 分子式: | C7H8N2O3S | 分子量: | 200.22 | 结构式: |  | 形状: | 白色或类白色结晶粉末 | 用途: | 头孢母核,用作头孢布坦、头孢唑肟中间体。 | 技术指标: | 含量(HPLC)≥98.0% 含水≤ 1.0% |
| |
相关产品:
|