产品说明
一般描述
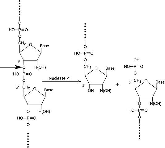
核酸酶P1是分子生物学领域最为人熟知的单链特异性核酸酶之一;核酸酶P1是单链特异性内切酶(ssDNA或ssRNA内切酶)。核酸酶P1还可切割双链核酸中的单链区域。
柑桔青霉来源核酸酶P1是一种锌依赖性内切核酸酶,在存在低浓度尿素的情况下表现出更强的活性。 核酸酶P1的选择性活性现已可用于核酸结构研究应用。
应用
- 单链DNA或RNA经核酸酶P1切割为5'单核苷酸
- 核酸酶P1可用于支持DNA损伤和修饰研究
- 借助核酸酶P1,可完整核酸碱基相关的组分和结构分析
- 核酸酶P1一度用于从酵母RNA工业生产5′-单核苷酸。
- 通过核酸酶P1,可在蛋白质纯化过程中去除核酸
- 核酸酶P1是涉及t-RNA依赖性氨基酸生物合成和t-RNA依赖性转酰胺基的研究方法开发所需的关键试剂
- 柑桔青霉来源核酸酶P1已用于一项使用硫酸铵或聚乙二醇4000作为沉淀剂从而评估晶体结构的研究。
- 核酸酶P1还用于一项研究方法调查,可从5′或3′端基标记的RNA,直接对20-25个核苷酸进行序列分析。
- 核酸酶P1用于提高基于32P标记进行DNA加合物检测方法的灵敏度。
该酶具有约70 ℃的最适温度,但低于60 ℃的温度对于更长时间的孵育更为合适。它可稳定在pH 5 - 8范围内。
生化/生理作用
催化对单链DNA和RNA的非特异性核酸酶内切以产生核苷5′-磷酸和5′-磷酸寡核苷酸。它不会对双链的核酸具有明显的降解,特别是在pH6.0并有超过400 mM氯化钠存在的情况下。
特点和优势
我们的高活性核酸酶P1已通过3′- 5′ - 磷酸二酯酶活性和3′- 核苷酸酶活性测试,且是市场上活性最高的核酸酶P1
物理属性
由270个氨基酸残基组成的一种锌依赖性糖蛋白。分子量:42-50 kDa。
单位定义
3′-5′-磷酸二酯酶:一单位的酶在37℃、pH 5.3条件下每分钟可从RNA释放1.0 μ摩尔的酸可溶性核苷酸。
3′-核酸酶:一单位的酶在37℃、pH 7.2条件下每分钟可将1.0 μ摩尔的正磷酸从3′-AMP中水解。
基本信息
| 酶学委员会(EC)编号 | 3.1.30.1 ( BRENDA | IUBMB ) |
| MDL编号 | MFCD00131010 |
| NACRES | NA.54 |
产品性质
| 形式 | lyophilized powder |
| 质量水平 | 200 |
| specific activity | ≥200 units/mg protein (E |
| secondary activity | ≥1,000 units/mg protein 3′-nucleotidase |
| 分子量 | 42-50 kDa |
| 包装 | vial of ≥250 units (using RNA substrate) |
| 储存温度 | 2-8℃ |
安全信息
| 储存分类代码 | 13 - Non Combustible Solids |
| WGK | WGK 3 |
| 闪点(F) | Not applicable |
| 闪点(C) | Not applicable |
| 个人防护装备 | Eyeshields, Gloves, type N95 (US) |













