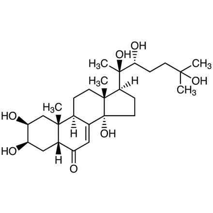
蜕皮甾酮
| 品牌: | 翁江试剂 | | 纯度含量: | 分析标准品,HPLC≥98.0% | | 包装: | 20mg | | 交货期: | 现货 | | 产地: | 广东韶关 | | CAS NO: | 5289-74-7 | | 分子式: | C27H44O7 | | 分子量: | 480.64 |
产品介绍
量大从优,欢迎电联,VX同号 PA12145| 蜕皮甾酮| 5289-74-7 | 别名 | 20-羟基蜕皮素 | | | 英文名 | 20-Hydroxyecdysone | | CAS号 | 5289-74-7 | 熔点 |
| | 分子式 | C27H44O7 | 闪点 |
| | 分子量 | 480.64 | 密度 |
| | MDL号 |
| 储存条件 |
| | 物化性质 |
|
| |
广东翁江化学试剂有限公司
手机: 13927870523 联系人: 欧阳喜林 邮编: 512000 地址: 翁源县官渡镇官广工业区标准厂房
相关产品:
|