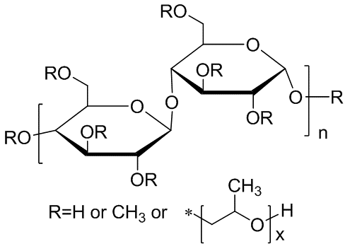
羟丙基甲基纤维素
| 品牌: | 翁江试剂 | | 纯度含量: | 黏度:3-5万 | | 包装: | 500g | | 交货期: | 现货 | | 产地: | 广东韶关 | | CAS NO: | 9004-65-3 | | 分子式: | (C10H18O6)N |
产品名称 羟基丙酸甲基纤维素 羟基丙基甲基纤维素 羥丙基甲基纖維素 L-HPC 羟甲基丙基纤维素 羟丙甲纤维素
产品介绍
PA08450| 羟丙基甲基纤维素| 9004-65-3 | 别名 | 羟丙基甲基纤维素;羟基丙酸甲基纤维素;羟甲基丙基纤维素;羟丙甲纤维素;羟基丙基甲基纤维素;羟基丙基甲基纤维素;羥丙基甲基纖維素;L-HPC | | | 英文名 | Hypromellose | | CAS号 | 9004-65-3 | 熔点 |
| | 分子式 | (C10H18O6)N | 闪点 |
| | 分子量 |
| 密度 |
| | MDL号 |
| 储存条件 |
| | 物化性质 |
|
量大从优,欢迎电联,VX同号
| |
广东翁江化学试剂有限公司
手机: 13927870523 联系人: 欧阳喜林 邮编: 512000 地址: 翁源县官渡镇官广工业区标准厂房
相关产品:
|