别名:乳化剂T-85;聚氧乙烯山梨醇酐三油酸酯
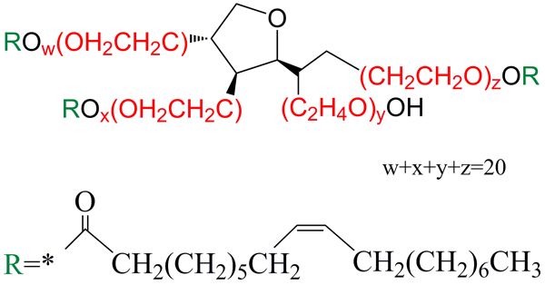
结构式:
分子式:C100H188O28
CAS NO.:9005-70-3
性质:琥珀色油状粘稠液体。无毒、无臭。相对密度1.00~1.05,HLB值11.0。溶于水、稀酸、稀碱和大多数有机溶剂,不溶于丙酮和聚乙二醇。 
质量标准:
外观:琥珀色油状液体
酸值(mgKOH/g):≤2
羟值(mgKOH/g):40~60
皂化值(mgKOH/g):83~98
水分(%):≤3
用途:用作乳化剂、增溶剂、稳定剂、扩散剂、润滑剂等。
包装及储运:200KG铁桶/塑料桶包装。运输时注意轻装、轻卸,储存于阴凉、通风干燥处,储存期2年。