位置:首页 > 产品中心
脉冲强光杀菌设备-FD2000

产品介绍

脉冲强光杀菌设备-FD2000

FD2000脉冲强光杀菌设备简介

   脉冲强光杀菌是一种新型非热杀菌技术,采用瞬时释放出的脉冲光能作用于目标微生物,在光热和光化学效应的共同作用下,微生物自身被瞬间加热而出现细胞破裂,从而杀灭食品和包装上多种微生物,有效保持食品质量,延长货架期。 这种技术与传统的杀菌方法相比,具有处理时间短、操作控制方便、不与物料和器械直接接触、无化学污染等优点,可在短时间内大幅度降低微生物菌群数量,有效杀死食品表面的致病菌和Putrefactive bacteria菌,无化合物残留,对食品品质破坏小。  

FD2000脉冲强光杀菌设备原理  

光子通量是由灯产生的,它被要杀菌的基质吸收。当底物的厚度很小时,比如细菌的细胞壁,光子通量会导致细胞壁磨损甚至部分蒸发。此外,很强的电子电流会产生强大的电磁场.强大的电磁场和高光子通量的结合对细菌以及酵母、真菌和病毒具有破坏性的物理影响(Kleijn, 2018)。 FD2000每闪发出2x1021个光子。这些光子在被辐照的物质上被转换成热。当光子被吸收时,它会失去电能并转化为热能(Kleijn, 2018)。闪光持续时间非常重要。举例来说,如果闪光的频率是1000Wsec,那么闪光的持续时间为One in a million秒,峰值能量为1MW(兆瓦)。光子都是在几分之一秒内发出的。杀死细菌的是光子密度。

IMG_258

与其他灭菌技术相比, PLP技术的优点:

1.物理灭菌方法,无化学残留;

2.非热杀菌,不会对食品的色泽、口感和营养价值产生负面影响(Bhavya & Hebbar, 2017);

3.过程中没有产生太多UV-C,产品味道得以保留(Koutchma,2008; Kleijn,2018);

4.脉冲光比UV-C光具有高的穿透能力(Hock et al., 2018)

相对于同类产品,FD2000系列脉冲强光杀菌设备的优势(Kleijn,2018)

1.汞灯为交流灯,PLP闪光灯为直流灯;

2.LP技术也适用于不耐热、不应接触化学品或不应暴露于离子辐射的物品;

3.每闪光的能量可以达2000J左右,而一般设备只有500J-800J;

4.PLP机比竞争对手的机器好,因为PLP灯强;

5.FD2000能在水下闪光的杀菌设备,可用于果汁杀菌;

6.FD2000既可用于杀灭包装材料上的细菌,又可用于杀灭食品中的细菌;

7.拥有CE认证

FD2000脉冲强光杀菌设备应用领域

1.肉制品; 2.乳制品;3.海产品;4.新鲜果汁;5.酱料;6.调味品;7.即食小吃;8.食品包材;9.由微生物引起食品安全及品质问题之处

IMG_259

FD2000脉冲强光杀菌设备应用案例

单核增生李斯特菌、沙门氏菌试验结果

即食小吃(ready to eat,RTE) 对于RTE产品,保存好是很重要的。由于产品的质量下降,这些产品中的许多不能被加热。

Oliva B.V.依赖于其产品的pH值、水活性和防腐剂来阻止病原体的生长(Bos, 2016)。经测试的产品结果如下:

表3. 暴露于单增李斯特菌的即食小吃检测结果(Bos, 2016)


4:沙门氏菌对奥利瓦产品的检测结果(Bos, 2016)

1. 果酱、果干等即食小吃杀菌实验结果

客户案例: Oliva Tapas & More委托第三方检测结果,并因此购买了2台


表1. 暴露于单增李斯特菌的Oliva产品的检测结果(Bos,2016)

IMG_260

表2. 暴露于沙门氏菌的Oliva产品的检测结果(Bos,2016)

2. 植物致病真菌实验结果

IMG_261

表3. 一或两次闪光下、不同光源距离脉冲强光处理下镰刀菌的减菌效果

3. 鸡蛋保鲜实验结果 针对鸡蛋表面微生物污染,经过脉冲强光处理后,鸡蛋感官品质、营养物质以及蛋壳的完整性得以保持。研究表明,细菌的减少在2.3到3.8 Log之间(Hock et al. 2018)。

IMG_263

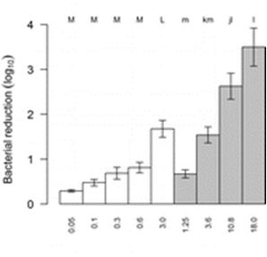
1. UV- c(白色条)和脉冲UV(灰色条)光处理干净鸡蛋上沙门氏菌的减少情况

注:被沙门氏菌污染的鸡蛋用蒸馏水清洗后,用UV-C和脉冲紫外线处理结果

IMG_264

2. 蛋壳表面经紫外光处理后的扫描电镜观察图

(A) 0.6 J/cm2 (10 mW/cm2, 60 s)的UV-C光处理; (B)脉冲紫外线处理,10.8 J/cm2; (C)未经处理的控制


4. 蘑菇经脉冲强光照射含量增加实验结果

脉冲强光也可以用来改善饮食营养。脉冲强光可作为一种快速增加新鲜蘑菇中含量的方法。在每秒三次脉冲后,每份多于每日推荐摄食量99.9%水平。



IMG_265

图3. 脉冲强光处理的新鲜白蘑菇切片(双孢蘑菇)含量以3次脉冲递增(3次脉冲=1 s暴露时间)。

误差条表示标准差。字母相同的平均值无统计学差异(p < 0.05)。

IMG_266

4. 新鲜白色和棕色双孢菇以切片或整体的形式接受脉冲强光处理后(3次脉冲=1 s曝光时间)含量变化(对照组蘑菇不接受脉冲光照射)。

小写字母相同的平均值差异无统计学意义(p<0.05)。对照组蘑菇含量分别为0.0106μg/g棕色品种,0.265μg/g白色品种。



FD2000脉冲强光杀菌设备用户


IMG_267

FD2000脉冲强光杀菌设备技术参数(部分)

1. 闪光能量1,850焦耳/闪光

2. 闪光频率1闪光/秒






上海瑞玢智能科技有限公司
获取底价
提交后,商家将派代表为您专人服务
 
相关产品:
| 首页 | CAS NO | 联系我们 | 会员服务 | 推广服务 | 友情链接 |
版权所有 CopyRight © 2008-2026 粤ICP备08119708号