位置:首页 > 产品中心
JD-2A接地导通测试仪检定装置
型号:JD-2A

产品介绍

D-2系列接地导通电阻测试仪检定装置用于检定接地导通电阻测试仪(工频接地电阻测试仪)的专用产品,参照有关的技术文件设计、制造。能够满足电力行业标准《DL/T845.2-2004工频接地电阻测试仪》的相关要求。是各级电力计量测试单位必备的设备。

一、本产品采用四端测量法接线,具有操作简单、方便、安全、精度高的特点。本系列产品具有多种规格,主要技术指标如下。用户可根据不同需求定制特殊规格的检定装置。

型号阻值(mΩ)准确度(%)最大使用电流(A)
JD-2A20 40 60 80 100 120 140 160 180 2000.230
JD-2B50 100 150 200 250 300 400 500 60015
JD-2C20 50 100 150 200 250 300 350 400 450 500 550 600 700 800 900 100025
JD5-20010 50 100 200 300 500(mΩ) 1 2 5 8 10 20 50 100 200(Ω)0.15

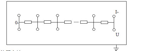
二、 工作原理图

三、使用方法

由于不同型号的接地导通电阻测试仪(工频接地电阻测试仪)输出的测试电流不同,测试范围也可能不一样,因而检定装置的电阻值和最大工作电流也应与之匹配。在检定基本误差时,将被检测试仪置于适当的量程,用截面积足够大的连接线将本检定装置与被检测试仪正确连接,如下图所示:

注:辅助接地电阻RP、RC由用户自备

按测试仪的正常使用方法操作,测得的读数与检定装置对应的电阻值相比较,就能直观的判断被检测试仪测量误差的大小。具体操作应按有关规程文件和测试仪的技术说明书的要求进行。

四、注意事项

1、本系列检定装置对测试电流有限制,使用时不允许超过最大工作电流。电流端和电压端不得接错。

2、应在通风、干燥且温度在23±5℃的环境下使用及存放。

3、有风冷的产品,必须接通工频电源,并且注意检定装置周围的空气流通。

4、使用时应接好地线。

五、附则

1、随机供应的文件及附件:

(1)、装箱单;

(2)、使用说明书;

(3)、产品合格证;

2、在用户遵守保管和使用规则下,从制造厂发货日起12 个月内,如因产品质量不良而不能正常工作时,本厂无偿地为用户修理。

特别推荐:用于检定变压器直流电阻测试仪、回路电阻测试仪的专用电阻器

天水长城电工仪器有限责任公司
获取底价
提交后,商家将派代表为您专人服务
 
相关产品:
| 首页 | CAS NO | 联系我们 | 会员服务 | 推广服务 | 友情链接 |
版权所有 CopyRight © 2008-2026 粤ICP备08119708号