位置:首页 > 产品中心
E-max光谱仪
型号:E-max
仪器种类:台式/落地式
行业专用类型:通用

产品介绍

·满⾜GB15618-2018中对⼟壤中重⾦属的筛查及管控要求,其中对镉的合规要求是 0.3mg/kg, ⽽ E-max 系列检测极限可以达到0.05mg/kg。土壤样品部分元素测试精密度(分析时间: ≤600s):相对标准偏差(RSD)≤12%。

·现场快速对样品进⾏实验室级别的分析,⽐⼿持机操作安全性好,⽐传统台式机重量轻、便携性强; 水样测试精密度(分析时间:≤300s):相对标准偏差(RSD)≤10%。

·⽆论在实验室还是⼾外场合,E-max产品都可以进⾏快速、⽅便的操作,从⽽有助于⽤⼾根据现场分析结果⽴即采取对应措施。

·E-max系列重⾦属分析仪,是专为环保、农业部、监察执法、环境修复、第三⽅检测机构等相关部⻔开发的⼀款产品,采⽤单波⻓X射线荧光分析技术,其对环境⼟壤中的多种重⾦属有出⾊的分析性能,尤其是对镉元素有极为出⾊的灵敏度。

产品特点

·设备PDA与仪器主机一体嵌入式不可拆卸设计,使用可靠; 采用独立风道散热方式,避免长时间的工作,导致元件温度升高进而导致数据偏差; 仪器在300s-600s以内即可对土壤中的将近40余种重金属进行定性定量分析。

·辐射安全防护功能:仪器通过辐射安全剂量认证,保证了设备使用的安全性。 独特的侧面进样,防止样品的泄漏,避免了频繁的更换窗口防护膜。 独特的样品杯设计,将进样与采样简单化,进样量少,简化现场制样流程。 独特的光路设计,先进的单波长激发技术及软件算法,大幅提高检测精度、减少测试误差。

·采用嵌入式系统,高分辨率液晶显示触摸屏,结合数字多道技术,有效提升数据传输和运算能力。 数据导出专业、全面、可进行Excel编辑。强大的数据存储能力,能够连续存储至少10000次检测记录。 支持蓝牙打印功能。支持4G、5G远程数据传输。

仪器简介

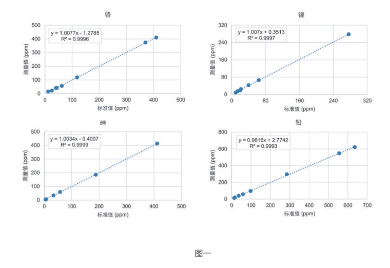
一、E-max可适用于土壤、固废、污水、农田肥料和农作物,以及大气颗粒等样品基质中元素检测分析 (图一);

E-max

E-max在农作物及污水中元素检出限(mg/kg)

技术参数

测试时间:30秒-1200秒

测量范围:AI-U

⽹络连接⽅式:有限⽹络或⽆线WiFi

应用方向:土壤,粮食和水质

⼯作温度:-5 ℃~50 ℃

⼯作湿度:≤85%

重量:<9.5 kg

尺⼨:30cmW*23cmL*26cmH

苏州佳谱科技有限公司
获取底价
提交后,商家将派代表为您专人服务
 
相关产品:
| 首页 | CAS NO | 联系我们 | 会员服务 | 推广服务 | 友情链接 |
版权所有 CopyRight © 2008-2026 粤ICP备08119708号