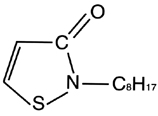
产品名称:OIT 2-辛基-4-异噻唑啉-3-酮
英文化学名:2-nocty1-4-isotHiazoline-3-one
CAS NO.:26530-20-1
分子式:C11H19NOS
分子量:213.33
结构式:

质量标准:
外观:淡黄至琥珀色透明液体。
PH值(1%水溶液):4.0-7.0
密度:1.2
活性含量:≥99%
稳定性:易溶于有机溶剂,塑料
应用范围:
本产品为液态,溶于有机溶剂,微溶于水,是一种低毒、高效、广谱型防霉剂,对霉菌具有很强的杀灭作用,能达到理想的防霉效果,可广泛应用于涂料、油漆、润滑油、鞋油、皮革化学、木材制品和文物保护等诸多产品中。无VOC,强光和高温下稳定,杀菌广谱高效,可有效防止塑料中的细菌和真菌。使用时若溅于皮肤,要及时用清水冲洗,以免过敏或灼伤。