位置:
首页
>
产品中心
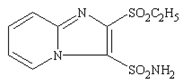
2-乙磺酰基咪唑并[1,2-a]吡啶-3-磺酰胺
纯度含量:
97%
包装:
25Kg
CAS NO:
141776-47-8
产品介绍
CAS号:
141776-47-8
结构式:
用 途:
除草剂氟酮磺隆(氟唑磺隆)的中间体
企业质量指标:
白色晶体
含量:97%
产 量:
10吨/月
包 装:
25Kg纸板桶
常州黄隆化工有限公司
获取底价
提交后,商家将派代表为您专人服务
我对您的2-乙磺酰基咪唑并[1,2-a]吡啶-3-磺酰胺产品感兴趣,请发具体的信息及报价,谢谢!
相关产品:
2,4,6-三甲基苯甲醛
关注(
4012
)
N-甲基-2-氯乙酰胺
关注(
3522
)
氟胺磺隆三嗪
关注(
3592
)
6-甲基-2-甲氧羰基-苯磺酰氯
关注(
3187
)
1,1-二苯乙烯
关注(
3050
)
双苯恶唑酸
关注(
3260
)
二甲氨基硫代甲酰氯
关注(
2947
)
N-乙基-2-氯乙酰胺
关注(
3380
)