位置:
首页
>
产品中心
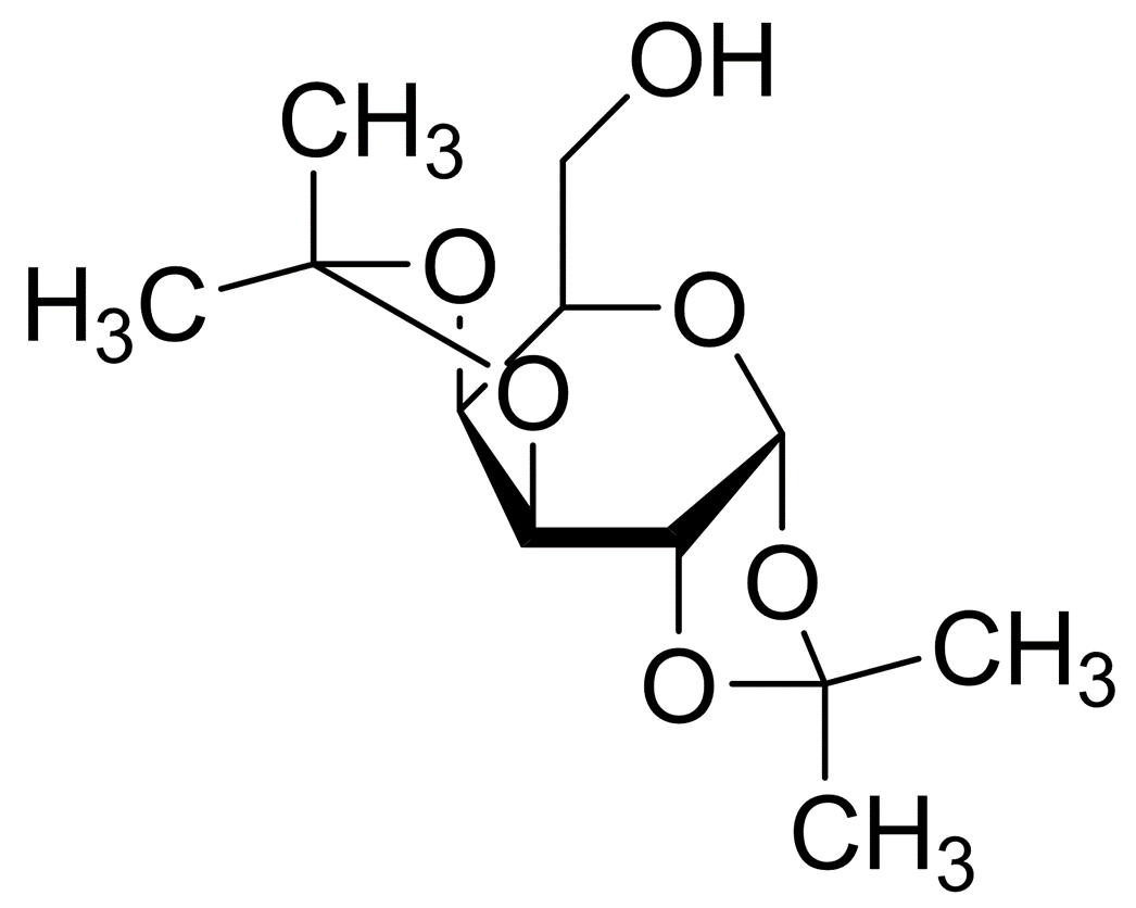
双丙酮-D-半乳糖
查看大图
品牌:
翁江试剂
纯度含量:
≥97.0%
产地:
广东韶关
CAS NO:
4064-06-6
分子式:
C
12
H
20
O
6
分子量:
260.28
索取资料及报价
产品名称
1,2:3,4-双邻异丙基-α-D-吡喃半乳糖
1,2:3,4-双邻异丙基-D-吡喃(型)半乳糖
乙酰丙酮-D-半乳糖
Diacetone-D-galactose
产品介绍
CAS号
4064-06-6
分子式
C
12
H
20
O
6
分子量
260.28
结构式
广东翁江化学试剂有限公司
手机: 13927870523
联系人: 欧阳喜林
邮编: 512000
地址: 翁源县官渡镇官广工业区标准厂房
相关产品:
顺-β-甲基苯乙烯
关注(
1154
)
聚硅酸锂
关注(
1420
)
四丁基磷酸二氢铵
关注(
1132
)
2-羟乙基甲砜
关注(
1213
)
叔丁氧基锡(IV)
关注(
1170
)
2-甲基-2-戊烯醛
关注(
1158
)
2,2,2-三氟乙基氯甲酸酯
关注(
1039
)
十二烷基苯磺酸钠标准溶液
关注(
1131
)