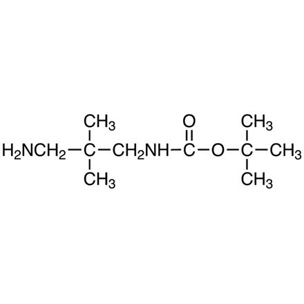
N-(叔丁氧羰基)-2,2-二甲基-1,3-丙二胺
| 品牌: | 翁江试剂 | | 纯度含量: | ≥98.0% | | 产地: | 广东韶关 | | CAS NO: | 292606-35-0 | | 分子式: | C10H22N2O2 | | 分子量: | 202.30 |
产品名称 N-Boc-2,2-二甲基-1,3-丙二胺 (3-氨基-2,2-二甲基丙基)氨基甲酸叔丁酯 N-Boc-2,2-二甲基-1,3-二氨基丙烷 N-Boc-2,2-dimethyl-1,3-propanediamine
产品介绍
CAS号 292606-35-0 分子式 C10H22N2O2 分子量 202.30 结构式 
| |
广东翁江化学试剂有限公司
手机: 13927870523 联系人: 欧阳喜林 邮编: 512000 地址: 翁源县官渡镇官广工业区标准厂房
相关产品:
|