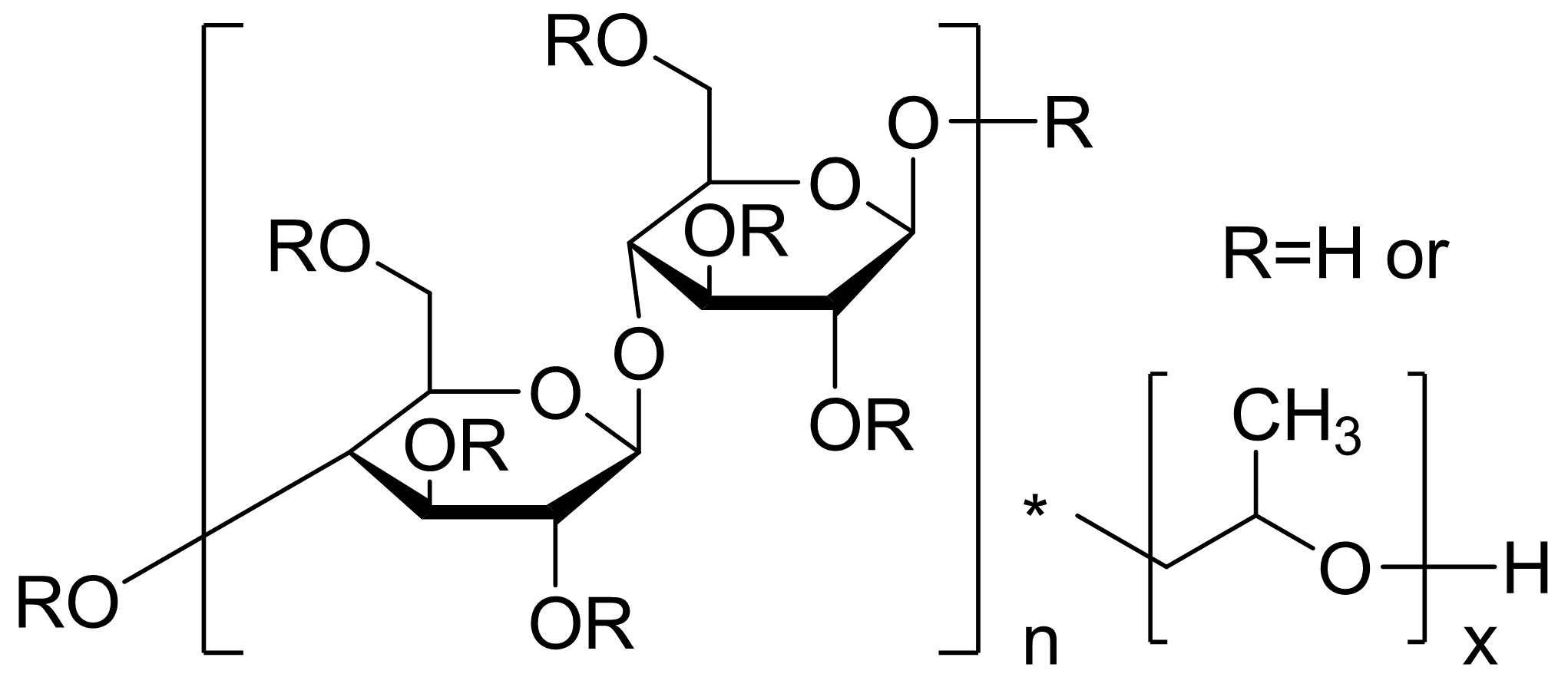
羟丙基纤维素
| 品牌: | 翁江试剂 | | 纯度含量: | 高取代 | | 包装: | 100g | | 交货期: | 现货 | | 产地: | 广东韶关 | | CAS NO: | 9004-64-2 |
产品名称 2-羟丙基醚纤维素 羟丙纤维素 Hydroxypropyl cellulose
产品介绍
量大从优,欢迎电联,VX同号 PA07023| 羟丙基纤维素| 9004-64-2 | 别名 | 羟丙基纤维素(低取代羟丙基含量:5-10%;高取代羟丙基含量:10-13%);2-羟丙基醚纤维素;羟丙基纤维;羟丙纤维素;羟丙基纤维素 | | | 英文名 | Hydroxypropyl cellulose | | CAS号 | 9004-64-2 | 熔点 |
| | 分子式 |
| 闪点 |
| | 分子量 |
| 密度 |
| | MDL号 |
| 储存条件 |
| | 物化性质 |
|
|
|
| |
广东翁江化学试剂有限公司
手机: 13927870523 联系人: 欧阳喜林 邮编: 512000 地址: 翁源县官渡镇官广工业区标准厂房
相关产品:
|